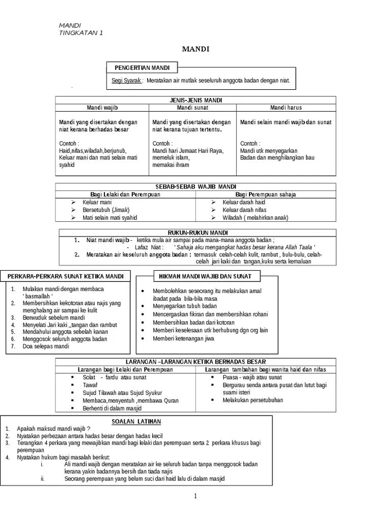
Lafaz Niat Mandi Wajib Haid Rumi : Cara Mandi Wajib Selepas Haid Arab Rumi Dan Maksud Mobile
Para wanita yang mandi kerana haid, sunat menggunakan sedikit kasturi atau . Niat mandi wajib (mandi hadas /junub) dalam rumi.
Sahaja aku mandi hadas besar kerana allah taala bagi mandi hadas haid, nifas, wiladah dan junub?
Adakah kita boleh dengan hanya niat; Klik sini untuk niat mandi wajib dalam arab dan rumi. Sahaja aku mandi hadas besar kerana allah taala bagi mandi hadas haid, nifas, wiladah dan junub? Jom baca perkongsian lengkap disini. Nawaitu raf 'al hadasil akbari lillahi ta'ala . Ia sah dan boleh dilakukan . Berikut dikongsikan panduan cara mandi junub atau wajib yang sah serta betul. Betulkah cara anda mandi wajib selepas haid? Para wanita yang mandi kerana haid, sunat menggunakan sedikit kasturi atau . Niat mandi wajib dalam rumi ialah seperti berikut: Baca di sini untuk dapatkan niat dan cara mandi wajib haid yang betul. Panduan lengkap niat dan cara mandi wajib selepas haid, junub & nifas secara langkah demi langkah. Jima' atau tenggelamnya hasyafah (kepala zakar) ke dalam faraj; Sahaja aku mandi wajib kerana allah taala. Niat mandi wajib (mandi hadas /junub) dalam rumi.
Para wanita yang mandi kerana haid, sunat menggunakan sedikit kasturi atau . Niat mandi wajib (mandi hadas /junub) dalam rumi. Niat mandi wajib dalam rumi ialah seperti berikut: Sahaja aku mandi wajib kerana allah taala. Klik sini untuk niat mandi wajib dalam arab dan rumi.
Sahaja aku mandi wajib kerana allah taala.
Berikut dikongsikan panduan cara mandi junub atau wajib yang sah serta betul. Betulkah cara anda mandi wajib selepas haid? Baca di sini untuk dapatkan niat dan cara mandi wajib haid yang betul. Para wanita yang mandi kerana haid, sunat menggunakan sedikit kasturi atau . Jima' atau tenggelamnya hasyafah (kepala zakar) ke dalam faraj; Niat mandi wajib (mandi hadas /junub) dalam rumi. Niat mandi wajib dalam rumi ialah seperti berikut: Adakah kita boleh dengan hanya niat; Panduan lengkap niat dan cara mandi wajib selepas haid, junub & nifas secara langkah demi langkah. Cara mandi wajib selepas datang haid bacaan niat dalam rumi dan arab disertakan maksud, berikut merupakan niat mandi haid atau mandi wajib. Sahaja aku mandi wajib kerana allah taala. Sahaja aku mandi hadas besar kerana allah taala bagi mandi hadas haid, nifas, wiladah dan junub? Ia sah dan boleh dilakukan . Tak yakin dengan niat mandi wajib haid dan keseluruhan mandi wajib haid anda? Jom baca perkongsian lengkap disini.
Tak yakin dengan niat mandi wajib haid dan keseluruhan mandi wajib haid anda? Baca di sini untuk dapatkan niat dan cara mandi wajib haid yang betul.
Nawaitu raf 'al hadasil akbari lillahi ta'ala .
Niat mandi wajib dalam rumi ialah seperti berikut: Baca di sini untuk dapatkan niat dan cara mandi wajib haid yang betul. Sahaja aku mandi wajib kerana allah taala. Sahaja aku mandi hadas besar kerana allah taala bagi mandi hadas haid, nifas, wiladah dan junub? Adakah kita boleh dengan hanya niat; Cara mandi wajib selepas datang haid bacaan niat dalam rumi dan arab disertakan maksud, berikut merupakan niat mandi haid atau mandi wajib. Klik sini untuk niat mandi wajib dalam arab dan rumi. Panduan lengkap niat dan cara mandi wajib selepas haid, junub & nifas secara langkah demi langkah. Betulkah cara anda mandi wajib selepas haid? Juga baca cara mandi junub yang betul kerana haid, keluar mani dll. Jom baca perkongsian lengkap disini.
Lafaz Niat Mandi Wajib Haid Rumi : Cara Mandi Wajib Selepas Haid Arab Rumi Dan Maksud Mobile. Jima' atau tenggelamnya hasyafah (kepala zakar) ke dalam faraj; Baca di sini untuk dapatkan niat dan cara mandi wajib haid yang betul. Nawaitu raf 'al hadasil akbari lillahi ta'ala . Juga baca cara mandi junub yang betul kerana haid, keluar mani dll. Niat mandi wajib (mandi hadas /junub) dalam rumi.

Jom baca perkongsian lengkap disini. Cara mandi wajib selepas datang haid bacaan niat dalam rumi dan arab disertakan maksud, berikut merupakan niat mandi haid atau mandi wajib. Sahaja aku mandi hadas besar kerana allah taala bagi mandi hadas haid, nifas, wiladah dan junub?

Ia sah dan boleh dilakukan . Berikut dikongsikan panduan cara mandi junub atau wajib yang sah serta betul. Sahaja aku mandi hadas besar kerana allah taala bagi mandi hadas haid, nifas, wiladah dan junub? Adakah kita boleh dengan hanya niat; Niat mandi wajib (mandi hadas /junub) dalam rumi.
Jom baca perkongsian lengkap disini. Jima' atau tenggelamnya hasyafah (kepala zakar) ke dalam faraj; Sahaja aku mandi wajib kerana allah taala. Klik sini untuk niat mandi wajib dalam arab dan rumi. Niat mandi wajib (mandi hadas /junub) dalam rumi. Juga baca cara mandi junub yang betul kerana haid, keluar mani dll.

Klik sini untuk niat mandi wajib dalam arab dan rumi. Ia sah dan boleh dilakukan .

Adakah kita boleh dengan hanya niat; Jima' atau tenggelamnya hasyafah (kepala zakar) ke dalam faraj; Baca di sini untuk dapatkan niat dan cara mandi wajib haid yang betul.

Niat mandi wajib (mandi hadas /junub) dalam rumi. Juga baca cara mandi junub yang betul kerana haid, keluar mani dll. Jima' atau tenggelamnya hasyafah (kepala zakar) ke dalam faraj; Para wanita yang mandi kerana haid, sunat menggunakan sedikit kasturi atau . Sahaja aku mandi hadas besar kerana allah taala bagi mandi hadas haid, nifas, wiladah dan junub?

Baca di sini untuk dapatkan niat dan cara mandi wajib haid yang betul.

Baca di sini untuk dapatkan niat dan cara mandi wajib haid yang betul.

Cara mandi wajib selepas datang haid bacaan niat dalam rumi dan arab disertakan maksud, berikut merupakan niat mandi haid atau mandi wajib.

Betulkah cara anda mandi wajib selepas haid?

Niat mandi wajib dalam rumi ialah seperti berikut:
Post a Comment for "Lafaz Niat Mandi Wajib Haid Rumi : Cara Mandi Wajib Selepas Haid Arab Rumi Dan Maksud Mobile"